Questions in this chapter
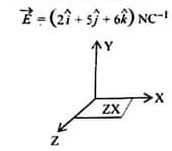
চিত্রে একটি সুক্ষ্ম তড়িৎক্ষেত্র—
তড়িৎক্ষেত্রের ZX তলে স্থাপিত ক্ষেত্রফল বিশিষ্ট তলে তড়িৎ ফ্লাক্স?
দুটি সমান্তরাল পাতের মধ্যে তড়িৎক্ষেত্রের প্রাবল্য সুষম। একটি পাত্র হতে অন্যটির দূরত্ব বাড়ার সাথে বিভব নিচের কোন লেখচিত্র অনুযায়ী পরিবর্তিত হবে।
চিত্রে ABC ত্রিভুজের AB = AC = 2 BD = 2 CD এবং q_CV_AV_D$
নিচের কোনটি সঠিক?
সমবিভব তলের বৈশিষ্ট্য হলো-
i. দুটি সমবিভব তল কখনো পরম্পরকে ছেদ করে না
ii. সমবিভব তলে আধানগুলো গতিশীল থাকে।
iii. সমবিভব তলকে তড়িৎ বল রেখাগুলো সমকোণে ছেদ করে।
নিচের কোনটি সঠিক?
একটি বর্গক্ষেত্রের শীর্ষবিন্দুতে চারটি বিন্দু আধান আছে। যাদের মান যথাক্রমে –Q, –q, 2q এবং 2Q। Q ও q এর মধ্যে নিচের কোন সম্পর্কের জন্য বর্গক্ষেত্রের কেন্দ্রে বিভব শূন্য হবে?
চিত্রে বর্গক্ষেত্রের D বিন্দুতে কত চার্জ স্থাপন করলে এর কেন্দ্রে বিভব শূন্য হবে?
পরাবৈদ্যুতিক ধ্রুবক k হলে-
নিচের কোনটি সঠিক?
কোনো গোলাকার পরিবাহীর ধারকত্ব 1F হলে এর ব্যাসার্ধ হবে—
1C ধনাত্মক আধান থেকে নির্গত বলরেখার সংখ্যা —

ধারকদ্বয়ের বিভব পার্থক্যের অনুপাত —
একটি বস্তুর মোট চার্জ হতে পারে নিম্নের কোনটি?
কুলম্বের সূত্র-
i. কেবল বিন্দু চার্জের ক্ষেত্রে প্রযোজ্য
ii. গতিশীল চার্জের ক্ষেত্রে প্রযোজ্য নয়
iii. মাধ্যমের উপর নির্ভর করে
নিচের কোনটি সঠিক?
দুটি চার্জের মধ্যে ক্রিয়াশীল স্থির তড়িৎ বল—
i. অন্য কোনো চার্জের উপস্থিতির উপর নির্ভর করে না
ii. অসংরক্ষণশীল
iii. এর সীমা অসীম
নিচের কোনটি সঠিক?
ভূ-সংযুক্ত বস্তুর তড়িৎ বিভব—
একটি তারের 50° C তাপমাত্রায় রোধ 5 এবং 100° C তাপমাত্রায় -রোধ 6 । 0°C তাপমাত্রায় তারটির রোধ হবে—
সবচেয়ে বেশি আধান থাকে আহিত বস্তুর-
চিত্রের প্রতিটি ধারকের ধারকত্ব । A ও B বিন্দুর মধ্যে কার্যকর ধারকত্ব হবে—

পৃথিবীর ব্যাসার্ধ 6500 km এর ধারকত্ব কত?
একটি চার্জিত বস্তুকে পৃথিবীর সাথে যুক্ত করলে বস্তুটিকে আধানের পরিমাণ—
তড়িৎ ক্ষেত্রের কোনো বিন্দুর বিভব হচ্ছে—